Общий знаменатель для алгебраических дробей

Общий знаменатель для алгебраических дробей

При сложении и вычитании алгебраический дробей с разными знаменателями сначала дроби приводят к общему знаменателю. Это значит, находят такой один знаменатель, который делится на исходный знаменатель каждой алгебраической дроби, входящей в состав данного выражения.

Как известно, если числитель и знаменатель дроби умножить (или разделить) на одно и то же число, отличное от нуля, то значение дроби не изменится. Это является основным свойством дроби. Поэтому, когда дроби приводят к общему знаменателю, по-сути умножают исходный знаменатель каждой дроби на недостающий множитель до общего знаменателя. При этом надо умножить на этот множитель и числитель дроби (для каждой дроби он свой).

Например, дана такая сумма алгебраических дробей:

Сложение алгебраических дробей

Требуется упростить выражение, т. е. сложить две алгебраические дроби. Для этого в первую очередь надо привести слагаемые-дроби к общему знаменателю. Первым делом следует найти одночлен, который делится и на 3x и на 2y. При этом желательно, чтобы он был наименьший, т. е. найти наименьшее общее кратное (НОК) для 3x и 2y.

Для числовых коэффициентов и переменных НОК ищется отдельно. НОК(3, 2) = 6, а НОК(x, y) = xy. Далее найденные значения перемножаются: 6xy.

Теперь надо определить, на какой множитель надо умножить 3x, чтобы получить 6xy:

6xy ÷ 3x = 2y

Значит, при приведении первой алгебраической дроби к общему знаменателю ее числитель надо умножить на 2y (знаменатель уже был умножен при приведении к общему знаменателю). Аналогично ищется множитель для числителя второй дроби. Он будет равен 3x.

Таким образом, получаем:

Приведение алгебраической дроби к общему знаменателю

Далее уже можно действовать как с дробями с одинаковыми знаменателями: складываются числители, а в знаменателе пишется один общий:

Приведение алгебраической дроби к общему знаменателю

После преобразований получается упрощенное выражение, представляющее собой одну алгебраическую дробь, являющуюся суммой двух исходных:

Сумма алгебраических дробей

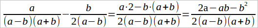
Алгебраические дроби в исходном выражении могут содержать знаменатели, представляющие собой многочлены, а не одночлены (как в приведенном выше примере). В таком случае, перед поиском общего знаменателя следует разложить знаменатели на множители (если это возможно). Далее общий знаменатель собирается из разных множителей. Если множитель есть в нескольких исходных знаменателях, то его берут единожды. Если множитель имеет разные степени в исходных знаменателях, то его берут с большей. Например:

Алгебраические дроби с многочленами в знаменателе

Здесь многочлен a2 – b2 можно представить как произведение (a – b)(a + b). Множитель 2a – 2b раскладывается как 2(a – b). Таким образом, общий знаменатель будет равен 2(a – b)(a + b).

Разложение знаменателей на множители