Значение отрицательной степени

Значение отрицательной степени

Возведение числа в положительную целую степень обозначает, что данное число умножается само на себя столько раз, каково значение показателя степени. Например:

43 = 4 × 4 × 4

Что в таком случае обозначает возведение числа в отрицательную целую степень:

4–3 = ?

Будем исходить из того, что свойства степеней сохраняются и для отрицательных целых показателей. Значит, например, что при умножении степеней с одинаковыми основаниями показатели складываются. Возьмем такое выражение:

43 × 4–3

Так как показатели мы можем сложить, то получим:

43+(–3) = 43 – 3 = 40

Любое число, кроме нуля, в нулевой степени равно 1:

40 = 1

Однако 40, которое равно 1, - это то же самое, что 43 × 4–3. Значит,

43 × 4–3 = 1

Преобразуем равенство по отношению к отрицательной степени:

4–3 = Возведение в отрицательную степень

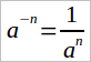
Таким образом, можно сделать вывод, что число, возводимое в целую отрицательную степень, равно единице, деленной на это число, возводимое в положительную степень.

Общая формула записывается так: Формула возведения в отрицательную степень. При этом a ≠ 0 (нельзя возвести 0 в отрицательную степень).

Иногда бывает необходимо сделать обратные преобразования, т. е. из дроби получить целое число в отрицательной степени, чтобы легче выполнить вычисления:

Преобразование выражения с отрицательными степенями

Можно выполнить преобразования по-другому, представив 2–7 в виде дроби. В таком случае при делении знаменатель делителя окажется в числителе:

Преобразование выражения с отрицательными степенями